Cette étude ex vivo compare 3 méthodes de décontamination de la peau lésée :
- Une solution contenant un agent tensioactif non ionique sous forme de spray, disponible sans prescription médicale
- Du sérum physiologique sous forme de spray
- Du sérum physiologique à verser
Des blessures représentatives de lésions rencontrées chez les travailleurs du nucléaire ont été infligées à des morceaux de peau de porc puis contaminées par du chlorure de cobalt-60. Afin d’en comparer l’efficacité, le même volume a été utilisé pour chaque solution.
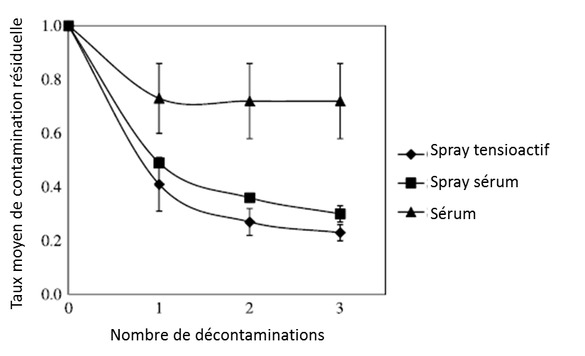
Les formes sprays sont plus efficaces que la solution à verser quel que soit le type de blessure (cf figure ci-dessous). La différence entre les 2 formes spray n’est pas statistiquement significative, même si la solution contenant un agent tensioactif permet d’atteindre un niveau moyen de contamination résiduelle plus faible. La pression, ici égale à 59 kPa pour les 2 formes spray, semble être un paramètre déterminant pour la décontamination de la peau.
Il serait intéressant d’élargir le test aux sprays antiseptiques disponibles sur le marché.
 
 
Contamination résiduelle pour une blessure de type incision