Les jonctions tunnel magnétiques sont les éléments de base de nouvelles mémoires magnétiques appelées MRAM (Magnetic Random Access Memory). Ces dernières sont en train de rentrer en production de volume chez les principaux fondeurs microélectroniques (Samsung, TSMC, Global Foundries..). Pour aller vers des mémoires de forte densité (quelques Gbit), à très faible temps d’accès (<3ns), et pouvant fonctionner à haute température (150°C requis pour les applications automobile), il faut continuer d’en améliorer les propriétés magnétiques et électriques. En particulier, on veut augmenter l’anisotropie magnétique des électrodes magnétiques qui détermine la rétention de la mémoire (durée de conservation de l’information écrite) et l’amplitude de magnétorésistance tunnel.
Le cœur d’une jonction tunnel magnétique est un empilement de la forme Buffer/FeCoB/MgO/FeCoB/Cap. Les électrodes magnétiques de FeCoB d’épaisseur 1 à 2 nm sont initialement amorphes et la barrière tunnel de MgO est polycristalline. Le buffer et la couche de protection (Cap) sont le plus souvent en tantale (Ta). Ces empilements doivent être recuits après dépôt pour cristalliser la couche de MgO et les couches de FeCoB. Cette cristallisation est nécessaire pour obtenir la forte magnétorésistance tunnel (TMR). Plus la température de recuit est élevée, meilleure est la cristallisation. Toutefois, la température de recuit est habituellement limitée à environ 300°C par des phénomènes d’interdiffusion dans les couches métalliques de l’empilement, en particulier du Ta dans le FeCoB. Il a été découvert à SPINTEC que en rajoutant des couches de métal réfractaire dans l’empilement, en particulier de tungstène dont la température de fusion est 3422°C, on pouvait augmenter la température de recuit des jonctions jusqu’à 570°C. Le métal réfractaire rigidifie l’ensemble de la structure. La magnétorésistance tunnel s’en trouve fortement augmentée (d’environ 30%).
  
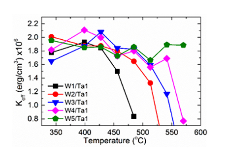
   Anisotropie magnétique de la couche de stockage en FeCoB (Keff) en fonction de la température de recuit pour différentes épaisseurs de la couche de tungstène W insérée entre la couche de FeCoB de stockage et la couche de protection (Cap en tantale).
  Anisotropie magnétique de la couche de stockage en FeCoB (Keff) en fonction de la température de recuit pour différentes épaisseurs de la couche de tungstène W insérée entre la couche de FeCoB de stockage et la couche de protection (Cap en tantale).