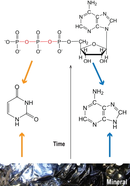
Les hypothèses actuelles sur l’origine de la vie postulent qu’elle a pu débuter soit avec la réplication, dans une soupe primordiale, de polymères contenant des informations génétiques avec des propriétés catalytiques limitées (le « Monde ARN »), soit avec des voies métaboliques interactives ayant lieu sur des surfaces minérales ou à proximité de celles-ci. Cette dernière possibilité peut être explorée si un processus géochimique continu et catalytiquement dynamique est supposé.
Dans cet essai, il est proposé que la synthèse des bases purines et pyrimidines des acides nucléiques a été initiée sur une surface minérale, qui a ensuite été remplacée par l’adénosine triphosphate (ATP). En effet, pour des molécules portant un groupement –COOH, la fixation sur une surface minérale (TiO
2, silicates, oxydes métalliques) équivaut à la phosphorylation de ces molécules par l’ATP. Dans les deux cas, l’atome de carbone de ce groupement chimique est rendu réactif vis-à-vis de l’attaque par une fonction amine (-NH
2). Dans le cas de la synthèse de la base adénine (une purine) ce type de réaction est utilisée pour générer ses 9 liaisons N-C. La transition vers l’utilisation de l’ATP, une molécule soluble, a pu libérer un organisme très primitif de son berceau minérale. Un raisonnement équivalent peut s’appliquer avec le transfert d’un ion hydrure (H-) depuis une surface du type Ni(S)Fe vers le cofacteur nicotinamide adénine dinucléotide (NAD).
