Vous êtes ici : Accueil > Actualités > Transistor supraconducteur à base de germanium en phase et en harmonies

Fait marquant | Résultat scientifique

Transistor supraconducteur à base de germanium en phase et en harmonies


​​​​​​​​Une équipe du CEA-​Irig/Pheliqs conçoit et met au point des transistors supraconducteurs "parfaits" à base de germanium qui ne dissipent pas d’énergie électrique. Cela a permis au laboratoire d’étudier son premier circuit quantique supraconducteur.​

Publié le 10 juin 2025

​​Depuis plusieurs années, l’équipe LaTEQS du Laboratoire ​PHELIQS se consacre à l’étude des propriétés électroniques de couches de germanium de quelques nanomètres d'épaisseur intégrées dans un substrat de SiGe.
Ces couches présentent des qualités exceptionnelles, avec des mobilités de porteurs de charges (ici des trous) atteignant plusieurs centaines de milliers de cm²/V/s et un libre parcours moyen élastique de l'ordre du micron. Elles sont fabriquées au CEA-Leti​ sous forme de wafers (disques) de 200 mm de diamètre, puis mises en forme à la Plateforme Technologique Amont (PTA) pour la conception de dispositifs quantiques, tels que les qubits de spin et les transistors supraconducteurs.
Par une série de trois publications récentes et autant de thèses, nous avons mis au point les procédés de fabrication de transistors supraconducteurs, étudié en détails les propriétés du courant non-dissipatif induit par effet de champ dans le canal en germanium​​ et fabriqué notre premier qubit supraconducteur.​

Les transistors supraconducteurs que nous concevons, sont constitués d'un canal en germanium (un matériau semi-conducteur) de quelques centaines de nm de long et connecté à deux supraconducteurs en aluminium (source et drain). Le dispositif est complété par une grille électrostatique qui recouvre le canal, permettant le contrôle du courant qui le traverse. Ce fonctionnement est similaire aux transistors silicium utilisés dans les téléphones portables. Nous exploitons les propriétés du germanium à très basse température (T < 1K) lorsque les contacts en aluminium deviennent supraconducteurs. Grâce à la qualité exceptionnelle du contact électrique entre l’aluminium et le germanium, il devient possible d’induire des corrélations supraconductrices dans le canal, le rendant ainsi lui-même "supraconducteur", c'est-à-dire sans dissipation d'énergie. Nous avons ainsi mis au point un transistor "parfait" qui, dans son état OFF (tension de grille positive), ne conduit pas, et qui, dans son état ON (tension de grille négative), conduit sans résistance. Ce transistor ne génère ainsi aucune dissipation thermique d’origine électrique (effet Joule). L’objectif principal de nos travaux est d’approfondir notre compréhension des propriétés de ce courant non dissipatif (supercourant) et de créer notre premier circuit quantique basé sur ce type de transistor. La mécanique quantique appliquée à ce genre de circuits, nous apprend qu’il existe une relation entre les phases macroscopiques des deux contacts supraconducteurs et l’amplitude du courant (première relation de Josephson). Lorsque le lien entre les deux contacts est une barrière tunnel, cette relation prend la forme d’une fonction sinusoïdale pure. Ce phénomène (effet Josephson) constitue la base des circuits quantiques supraconducteurs comme ceux développés par des compagnies comme Google, IBM, Rigetti, en France, au sein des start-ups Alice&Bob et SilentWave et dans de nombreux laboratoires académiques.

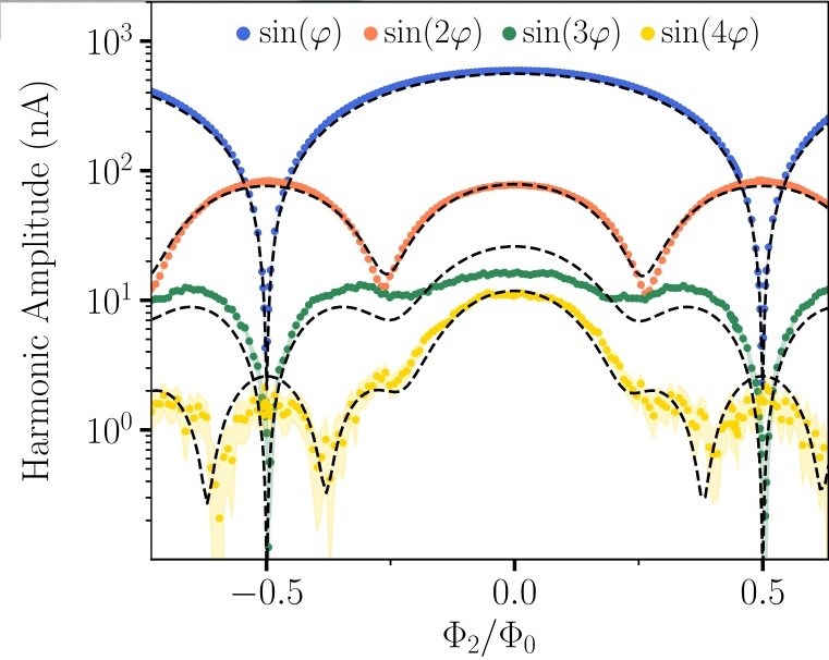
Nous avons récemment démontré que, dans le cas de nos dispositifs appelés en anglais Josephson Field Effect Transistors (JoFET), cette relation est plus complexe et comporte des harmoniques supérieures [1]. Ce phénomène témoigne de la très bonne qualité électrique des interfaces source-drain avec le germanium. Nous avons alors réalisé un premier dispositif composé de deux JoFETs intégrés dans une petite boucle supraconductrice (SQUID) [2]. Par des effets d’interférence obtenus en modulant le flux magnétique à travers cette boucle, il est possible de contrôler l’amplitude du supercourant et de manipuler ses différentes harmoniques. Nous avons ainsi mis au point l’équivalent d’un JoFET dont la première harmonique peut être réduite de 95 % (voir figure). Ce phénomène indique que le courant non dissipatif n’est plus transporté par des paires de Cooper mais par des paires de paires, ouvrant la voie à de nouveaux types de qubits supraconducteurs, potentiellement mieux protégés que ceux basés sur des jonctions tunnel.

​Dans ce but, nous avons réalisé un premier qubit supraconducteur à partir d’un seul JoFET [3]. La géométrie de ce qubit s'inspire des qubits supraconducteurs à base de jonctions tunnels (transmon), composés d’un îlot supraconducteur relié à un JoFET, lui-même couplé à un résonateur micro-onde pour la lecture de l'état du qubit.
​Grâce aux techniques de l’électrodynamique quantique des circuits (cQED), nous avons démontré le contrôle cohérent des états quantiques du qubit à l’aide de signaux micro-ondes. Nous avons également mesuré l’impact du contrôle par grille sur les états du qubit, en évaluant ses temps de cohérence. Bien que ces temps soient encore modestes (de l'ordre de quelques dizaines de nanosecondes), cette avancée ouvre la voie vers des qubits dont la protection et les temps de cohérence devraient être considérablement améliorés.

 

Image obtenue par microscopie électronique à balayage du double SQUID permettant la mesures des harmoniques de la relation courant-phase du dispositif constitué d’une boucle supraconductrice et de deux transistors supraconducteurs en Ge (pointillés).

 
Les courbes expérimentales montrent la décomposition harmonique ainsi que l’ajustement du modèle en fonction du flux magnétique à travers la boucle.


Financements
Ces études ont été financées, pour partie, par le projet ANR SUNISIDEuP, le PEPR RobustSuperQ et le Labex LANEF.

Haut de page