You are here : Home > Scientific news > Two energies for a single phase transition

Highlight | Quantum Physics

Two energies for a single phase transition


Researchers at IRIG are showing a two-step superconducting transition in a highly disordered material: when cooled, the electrons match in pairs, but yet superconductivity only appears at an even lower temperature.

Published on 21 May 2019
In a superconducting material, below the so-called critical temperature (Tc), the electrons are paired two by two. These pairs, called Cooper pairs, form a state described by the same quantum wave, the condensate. It is this condensed state that explains the superfluidity of electrical transport and in particular the strictly zero electrical resistance of these materials when they are cooled down to temperatures below Tc. In most superconductors, Cooper pairs form and condense simultaneously at Tc. But highly disordered superconductors deviate from this rule.

There is indeed a class of materials where, due to a major disorder (stacking defects, atomic impurities, etc...), and by confinement effects (thin layers of a few nm thick), electrons have difficulty to move above Tc. These materials are therefore close to a quantum transition to an insulating state, called an Anderson insulator, for which electrons remain localized at absolute zero temperature. Paradoxically, Cooper pairs switch matter between two opposite quantum states: from an Anderson insulator characterized by infinite electrical resistance to a superconductive state of zero resistance (see fact marking "An insulating superconductor"). However, their condensation is delayed by the effect of the disorder and once formed they only condense at a lower temperature.
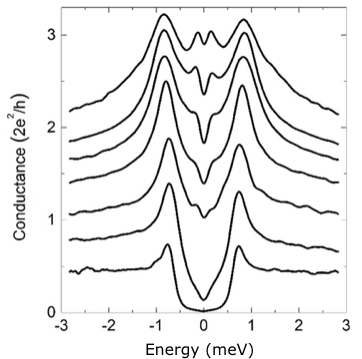
This two-step superconducting transition is logically driven by two energy scales that researchers at IRIG have highlighted using a scanning tunneling microscope cooled at very low temperatures (50 mK). See Figure for more information.

Tunnel conductance spectra obtained at 50 mK on an amorphous Indium oxide film. The conductance (at -3mV) is adjusted by varying the distance between the tip of the microscope and the sample.
Researchers at the Pheliqs laboratory recorded spectra for different conductance values. For low conductances (tunnel regime, bottom curve), only two peaks are visible in the spectrum. They characterize the "pseudogap" related to the formation of Cooper pairs (see highlight "What is hidden behind the pseudo-gap?"). On the other hand, for conductances higher than the conductance quantum (2 e2/h, Andreev reflection regime), an additional pair of peaks emerges in the spectra at a lower energy. It corresponds to the condensation of the Cooper pairs into a superfluid collective state.
A quantum phase transition is a phase transition between different quantum states. Unlike classical phase transitions, quantum phase transitions are only accessible by varying a physical parameter such as the magnetic field or pressure at a temperature near absolute zero.

Top page