You are here : Home > Scientific news > Electrically driven electron spin resonance (EDSR) mediated by spin-valley-orbit coupling in a silicon quantum dot

Highlight | Photonics

Electrically driven electron spin resonance (EDSR) mediated by spin-valley-orbit coupling in a silicon quantum dot



The results of a study made by researchers in our institute pave the way for a low –temperature all-electrical manipulation of electron spins in silicon nano-transistors with perspectives for a fast silicon spin qubit and other quantum spintronics purposes.

Published on 5 June 2018
Research on silicon-based spin qubits is currently extensively pursued looking for a viable pathway towards large-scale integration. To this aim, access to electric-field-mediated spin control would facilitate device scalability, circumventing the need for more demanding control schemes based on magnetic-field driven spin resonance. Electric-field control requires a mechanism coupling spin and motional degrees of freedom. A natural approach exploits the spin–orbit coupling (SOC), as realized in 2016 for hole spin in silicon at Grenoble. So far, this approach could not be applied to electrons in silicon, due to their extremely weak SOC. 


In this work electrically driven electron–spin resonance (EDSR) in a silicon-on-insulator (SOI) nanowire quantum dot device is realized. The underlying driving mechanism results from an interplay between SOC and the multi-valley structure of the silicon conduction band, which is enhanced in the peculiar non-planar nanowire geometry. A simple model and extensive tight-binding simulations capture the essential physics and provide a full quantitative analysis. This result paves the way for a low –temperature all-electrical manipulation of electron spins in silicon nano-transistors with perspectives for a fast silicon spin qubit and other quantum spintronics purposes.

Colorized top view of the device (before spacers deposition)
 
Electrostatic model of the device and envelop for the wave function for the first electron eigenstate
 
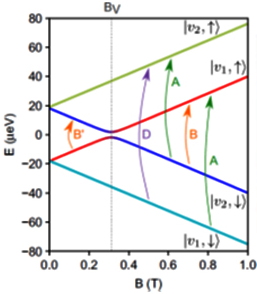
Energy levels versus magnetic field for electrons in silicon with spin=1/2 and two valleys (v1, v2). Arrows mark possible EDSR transitions. Transitions A (intra-valley) and B (inter-valley) have been detected in the experiment (Transition D is out of the experimental span), as well as the valley-spin degeneracy at B=Bv.


Top page